Zhejiang University Develops High-Stability, Low-Energy Biphasic Solvent for Efficient CO₂ Capture
Researchers from the State Key Laboratory of Clean Energy Utilization, Zhejiang University, have developed a new amide-based biphasic solvent that achieves both high thermal stability and low regeneration energy for carbon dioxide (CO₂) capture.
Their work, titled “Phase separation behavior and thermal degradation analysis of DETA/DEA/DMAC biphasic absorbent,” was recently published in the Chemical Engineering Journal.
The study, led by Professor Mengxiang Fang, together with collaborators from the China Petroleum Pipeline Engineering Corporation and the Qingshanhu Energy Research Center, explores the degradation behavior and impact mechanism of a diethylenetriamine (DETA)/diethanolamine (DEA)/N,N-dimethylacetamide (DMAC) biphasic absorbent system.

Through a combination of ion chromatography and ¹³C nuclear magnetic resonance (NMR) analysis, the team revealed that the biphasic absorbent demonstrates superior thermal stability compared with traditional monoethanolamine (MEA) and other amine systems.
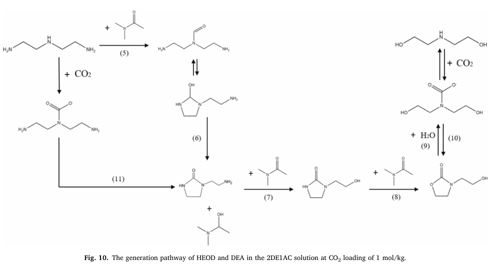
Specifically, the DETA/DEA/DMAC solvent exhibited a 19.9% lower amine degradation ratio than 7 M DETA and significantly mitigated degradation under fluctuating temperature and CO₂-loading conditions.

Most notably, the research uncovered that phase separation plays a crucial protective role in preventing synergistic degradation reactions within the solution. After phase separation, the DETA degradation ratio in the aqueous phase was reduced by 27.4%, and temperature-induced degradation decreased by 24.1%, ensuring long-term solvent stability during industrial operation.
Beyond stability, the solvent also demonstrated enhanced regeneration and cyclic capacity, with regeneration rates 84.9% higher and cyclic CO₂ capacity 63.3% greater than those of 30 wt% MEA. This remarkable improvement confirms the DETA/DEA/DMAC system’s potential for low-energy, high-efficiency CO₂ capture in large-scale carbon capture, utilization, and storage (CCUS) applications.
“Our findings show that ensuring complete phase separation before the regeneration stage is key to minimizing amine degradation and maintaining long-term operational stability,” said Professor Mengxiang Fang.
“This work provides new insights into the molecular-level degradation mechanism of biphasic solvents and opens a pathway toward next-generation CO₂ capture technologies.”

The research was supported by the National Key R&D Program of China (2023YFE0199300), the China Petroleum Pipeline Engineering Corporation, and the Fundamental Research Funds for the Central Universities.
